Che cos'è il cavo AWG? Capire la sua importanza nel cablaggio elettrico
L'American Wire Gauge (cavo AWG) è uno standard per la misurazione delle dimensioni dei fili in Nord America. Determina il diametro e lo spessore dei fili utilizzati negli impianti elettrici. Maggiore è il numero AWG, minore è il diametro del filo. L'AWG è fondamentale per garantire la sicurezza e la funzionalità degli impianti elettrici.
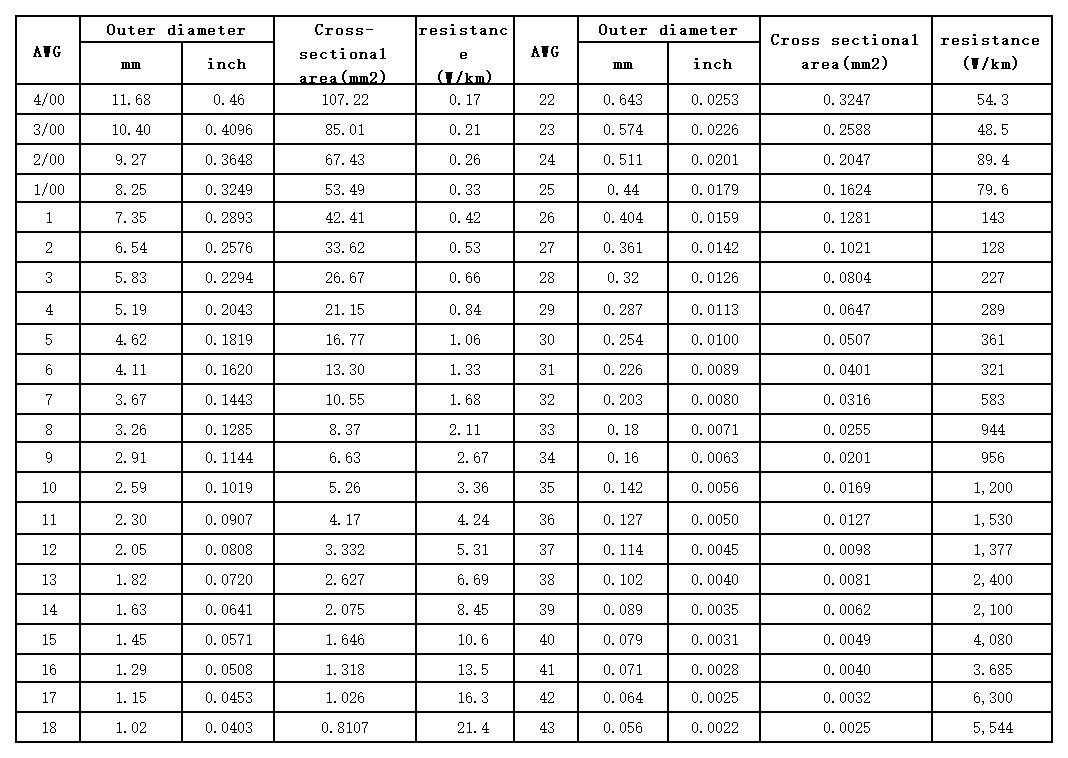
Cavo AWG: Nozioni di base da conoscere
Cavo AWG Le dimensioni vanno da 0000 (la più grande) a 40 (la più piccola). Questa scala consente di dimensionare con precisione i fili in base al carico elettrico che devono sopportare. Un numero AWG più basso indica un filo più spesso che può gestire più elettricità. D'altra parte, un numero AWG più alto corrisponde a un filo più sottile con una capacità inferiore.
Il sistema AWG è stato introdotto nel 1857 per sostituire i vari standard dimensionali dei fili. Il sistema è stato sviluppato per fili solidi a filo singolo, tipicamente in rame o alluminio. Sebbene molti Paesi utilizzino oggi il sistema metrico per la misurazione delle dimensioni dei fili, l'AWG è ancora prevalente in Nord America.
In che modo l'AWG influisce sulla capacità elettrica?
Una caratteristica fondamentale dell'AWG è che il calibro di un filo influisce direttamente sulla quantità di corrente che può trasportare in modo sicuro. Ad esempio, se si riduce la dimensione AWG di tre volte, la capacità del filo di trasportare corrente raddoppia. Un diametro maggiore significa meno resistenza e maggiore capacità di trasportare corrente. Pertanto, la scelta del corretto AWG è essenziale per evitare il surriscaldamento e garantire un funzionamento sicuro.
I fili di alluminio, che sono meno conduttivi del rame, devono essere dimensionati circa 2 calibri in più rispetto ai fili di rame per trasportare la stessa quantità di corrente.
AWG per filo a trefoli
AWG è utilizzato anche per i fili a trefoli. I trefoli sono costituiti da più fili più piccoli attorcigliati insieme. Quando si utilizza l'AWG per i trefoli, esso rappresenta la dimensione equivalente dell'area trasversale totale di tutti i trefoli messi insieme.
Ad esempio, un filo da 23 AWG 5/30 significa cinque trefoli da 30 AWG, che insieme equivalgono all'area della sezione trasversale di un filo da 23 AWG. Questo metodo contribuisce a garantire flessibilità e resistenza per le applicazioni in cui i fili vengono piegati o arrotolati.
L'importanza della scelta del giusto cavo AWG
Il diritto Cavo AWG è fondamentale sia per la trasmissione di potenza che per quella di segnale. Per i cavi di alimentazione, è necessario un filo più spesso (AWG inferiore) per gestire correnti elevate senza surriscaldarsi. Ad esempio, i sistemi audio automobilistici o ad alta potenza si affidano a fili AWG più bassi per garantire una distribuzione sicura dell'alimentazione.
Per i cavi di segnale, come i cavi HDMI o audio, l'AWG è meno critico. Questi cavi non trasportano tanta potenza, quindi l'attenzione si sposta su fattori come la schermatura e l'intreccio dei fili per evitare interferenze.
AWG e prestazioni del filo
I fili AWG più grandi (fili più spessi) offrono anche una maggiore resistenza fisica. Ciò è particolarmente importante per i cavi destinati a essere piegati o attorcigliati, come nelle applicazioni di rete o industriali. I fili a trefoli, in particolare, sono più resistenti alla rottura sotto tensione o alla piegatura rispetto ai fili pieni.
AWG e networking: Cosa c'è da sapere
Nel networking, le dimensioni dei fili influiscono sulle prestazioni. I cavi lunghi, come quelli Ethernet, possono richiedere un AWG inferiore (filo più spesso) per ridurre al minimo la perdita di segnale. Per le applicazioni Power over Ethernet (PoE), sono necessari cavi più spessi per gestire il carico di corrente aggiuntivo.
I cavi di rete più comuni, come Cat5 o Cat6, utilizzano di solito AWG di dimensioni comprese tra 22 e 26. Il giusto AWG garantisce un funzionamento efficiente e sicuro del sistema.
SX: il vostro partner di fiducia per cavi di alta qualità
A Sx, offriamo il premio Cavi AWG che soddisfano i più elevati standard industriali. I nostri cavi sono progettati per fornire prestazioni superiori sia in applicazioni di potenza che di segnale. Sia che siate alla ricerca di una distribuzione di potenza affidabile per il vostro sistema audio o di cavi di rete per la vostra azienda, Sx ha la soluzione giusta per voi.
Conclusione
Comprensione Cavo AWG Le dimensioni sono essenziali per chiunque sia coinvolto in installazioni o cablaggi elettrici. Che si tratti di distribuzione di energia o di trasmissione di segnali, la scelta del corretto AWG garantisce prestazioni sicure ed efficienti. A SxForniamo un'ampia gamma di cavi, su misura per soddisfare le esigenze specifiche dei vostri progetti.



